Este artículo está escrito para todos los que, como yo, os hacéis preguntas sin parar. Seguramente hayáis llegado a preguntaros por qué hay gente más fuerte.
A veces la respuesta es obvia, porque está más grande. Pero también te salen vídeos donde gente de menor masa muscular está más fuerte que gente más grande.
¿De dónde viene la fuerza? ¿Qué factores influyen?

Sarcómeros
Teóricamente, la máxima capacidad de ejercer fuerza que tiene un músculo cualquiera depende del número de sarcómeros que tiene ese músculo.
Vale, pero por partes.
¿Qué es un sarcómero?
Un sarcómero es la unidad contráctil más pequeña del músculo. El músculo se contrae porque se contraen sus fibras, pero las fibras se contraen porque se contraen los sarcómeros que las forman.
Piensa en los sarcómeros como en la cantidad de amigos que te ayudan a empujar el coche para que la batería reviva. Si empujáis 6 amigos el coche, podéis hacer más fuerza que si lo tenéis que empujar entre 2.
Pues esto es lo mismo, si tienes más sarcómeros, más “gente” ayuda a levantar la pesa.
ACSA y fuerza
Cuando quedó clara la importancia de los sarcómeros, los investigadores se propusieron medir la cantidad de fibras de un músculo para poder estimar la cantidad de sarcómeros, y ver si de esa manera podían sacar una relación entre sarcómeros y fuerza. Había que probar que la hipótesis era cierta.
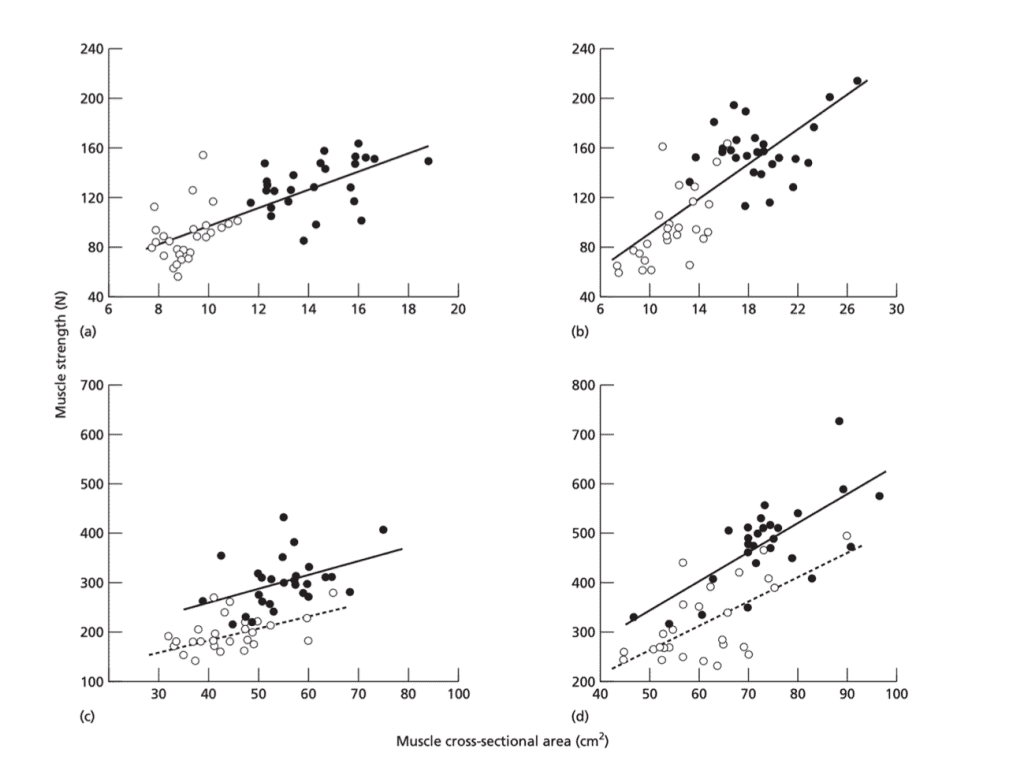
— Un estudio que se usa mucho para hablar de este tema es este (Kanehisa, 1994), donde se comparaba el CSA de diferentes músculos y el nivel de fuerza, en hombres y mujeres:

Ilustración 1. La fuerza muscular varía en función del CSA [29]. (a) flexores de codo (r2 = 0,56); (b) extensores de codo (r2 = 0,61); (c) flexores de rodilla (r2 = 0,17 hombre; r2 = 0,35 mujer); (d) extensores de rodilla (r2 = 0,54 hombre; r2 = 0,4 mujer). Los círculos negros corresponden a las mediciones en hombres, los blancos en mujeres
Se vio que a mayor CSA mayor fuerza, sobre todo en la musculatura del brazo. También tenemos otro estudio llevado a cabo con gente entrenada, y que mide directamente el impacto de varios factores musculares sobre la fuerza (Maden-Wilkinson, 2020).

Ilustración 2. Variables musculoesqueléticas que contribuyen al aumento de la fuerza a largo plazo
En este estudio se vio que de los factores que cambian dentro del músculo (arquitectura muscular, tamaño muscular, morfología y mecánica articular), lo que más influía en el nivel de fuerza era el tamaño muscular. Es decir, la gente que lleva tiempo entrenando es fuerte porque es más grande. Esto corrobora la hipótesis de que estar grande, ayuda a ser fuerte. Pero no es lo único.
Propiedades del músculo
Relación fuerza-longitud
Esta es la relación entre la máxima fuerza isométrica y la longitud del sarcómero. Es importante saber que esto no refleja lo que pasa de manera fiel, ya que en esta relación se sacan de la ecuación los componentes pasivos de la contracción muscular.

Ilustración 3. A) Curvas fuerza-tiempo para dos contracciones distintas activadas al máximo mediante estimulación eléctrica. B) Curva fuerza-longitud donde se apuntan los resultados del primer gráfico
Básicamente, se va apuntando en un gráfico la fuerza que hace un músculo o una fibra en cada longitud, y va saliendo un gráfico como el de la derecha, o más bien, como el siguiente que adjunto:
Ilustración 4. Relación longitud-fuerza típica
Como vemos, cuanto más estiramos el músculo, más débil es.
Corrección de la relación fuerza-longitud
La relación fuerza-longitud nace de aceptar unas premisas del modelo de contracción clásico que son equivocadas (como se demuestra, por ejemplo aquí). Se olvidan por completo las propiedades dependientes del historial del músculo, como el RFE.
No vamos a meternos aquí porque nos llevaría tiempo y sería muy tedioso para el lector, pero resumiendo mucho diré que, si haces una contracción excéntrica controlada, eres más fuerte que en las concéntricas gracias a la matriz extracelular y la titina (Herzog, 2018).
Por lo tanto, el tipo de contracción y su velocidad de ejecución afectan a la fuerza. Si hacemos una bajada explosiva, podemos aprovechar el rebote y el reflejo miotático, pero perdemos fuerza excéntrica (Tomalka, 2021).
Arquitectura celular
La célula muscular tiene algo llamado citoesqueleto, que funciona de andamio celular. Gracias a este andamio podemos recibir información de fuera de la célula. Pero lo más importante es que gracias a esto, nuestras células y sarcómeros están estables y gracias a ello pueden generar fuerza de manera mucho más eficiente (es el equivalente a hacer sentadilla en el suelo o sobre un bosu) (Olsen, 2019).
Factores nerviosos
Seguramente te habrás dado cuenta de que cuando empiezas en el gimnasio, durante el primer mes más o menos, no hay cambios notorios en tu físico, pero sí en tu fuerza. Progresas de una sesión a otra, vas a un ritmo muy bueno. Parece que cualquier día levantarás 100 kg en press de banca.
¿Cómo es eso posible? Cuando empezamos a entrenar en el gimnasio por primera vez, causamos mucho daño muscular (se rompen muchas proteínas dentro de nuestras fibras, que no es lo mismo que romper fibras). Por lo tanto, la mayoría de la síntesis proteica del cuerpo va destinada a reparar, no a construir (Damas, 2018).
Aunque nosotros vivamos en una generación en la que podemos contestar llamadas de teléfono desde nuestro reloj, nuestra fisiología sigue pensando que vivimos en cuevas, vestidos con taparrabos y huyendo de dientes de sable. Como nuestro cuerpo está tan dañado y tiene tan pocos recursos para adaptarse a esa amenaza (el entrenamiento) durante el primer mes, necesita adaptarse por otro camino, para asegurarse la supervivencia.
➜ Ese otro camino, ese parche o esa adaptación más rápida, viene por el sistema nervioso (Del Vecchio, 2019). De hecho, parece que esas mejoras en el sistema nervioso se deben a que podemos reclutar más fácilmente las neuronas (podemos activarlas con menos estímulo). Además, las mejoras en el sistema nervioso no se reducen únicamente a las que ocurren a nivel de la columna, sino que también se dan mejoras en el cerebro.
El impulso nervioso comienza en el cerebro (casi siempre).
➜ En un meta-análisis (Siddique, 2020) de hace un par de años se vio que también había mejoras en la corteza motora (M1). Una vez más, se vio que la excitabilidad de las neuronas era mayor (se reclutaban más fácil) y, además, el “periodo de recarga” para volver a descargar un impulso nervioso era menor en gente entrenada.
El mito de la coordinación
Desde siempre se ha creído que cuando todos nuestros nervios dirigidos a un músculo descargaban su impulso a la vez, seríamos capaces de generar más fuerza. Es decir, si todas las unidades motoras del bíceps descargan su “chispazo” a la vez, seremos más fuertes que si cada unidad motora va a su aire.
Bien, pues no es cierto. Hace pocos años se demostró que la coordinación de las unidades motoras dentro de un músculo (que todas disparen a la vez) no está relacionado con la fuerza.
Lo que sí que está relacionado con la fuerza es la frecuencia de disparo (cuántas veces descarga cada neurona).
Ilustración 5. Gráfico D: correlación entre la frecuencia de disparo y la fuerza; Gráfico E: correlación entre la sincronización de las unidades motoras y la fuerza
Resumen
- La cantidad de masa muscular contribuye, y mucho, a la fuerza.
- Los componentes pasivos del sarcómero y extracelulares aumentan la fuerza que podemos hacer.
- La organización de la célula muscular ayuda en la eficacia a la hora de transmitir fuerza.
- El sistema nervioso es el principal responsable de las mejoras de fuerza durante el primer mes.
- La coordinación intramuscular es un mito.
- El sistema nervioso se adapta a nivel espinal y cerebral.