La fertilidad es un tema rodeado de mitos y consejos poco contrastados.
⚠️ Muchas recomendaciones sobre dieta y concepción se basan en experiencias personales o en datos confusos.
Actualmente, no existen guías oficiales que indiquen qué comer para mejorar la fertilidad. La mayoría de los estudios disponibles son observacionales, acompañados de más confusión que en la torre de Babel.
📊 Sin embargo, la evidencia científica disponible guarda sorpresas enormes. Acompáñame.
Alimentación y fertilidad femenina: entre mitos y observaciones
Hoy en día, no existen guías oficiales que indiquen qué patrón dietético seguir para mejorar la fertilidad.
📊 La mayoría de los estudios son observacionales, lo que significa que muestran asociaciones, pero debemos ser cautos y hacer razonamientos más amplios.
🌱 Por eso, la recomendación más segura sigue siendo la misma que para la salud general: aumentar al máximo el consumo de alimentos vegetales integrales como frutas, verduras, legumbres, cereales de grano entero, etc.
La Asociación Dietética Británica ha propuesto nutrientes que podrían estar relacionados con la fertilidad.
⚠️ Sin embargo, estas guías se basan en evidencia preliminar y no concluyente, por lo que deben interpretarse con cautela.

📸👆 Tabla elaborada por la Asociación Dietética Británica que menciona nutrientes asociados a la fertilidad femenina, como ácido fólico, vitamina D, omega-3, yodo o hierro. 📊 Incluye ejemplos de alimentos y dosis recomendadas, aunque estas sugerencias no cuentan con respaldo científico. Fuente
👀 Cuando digo que no cuenta con respaldo científico, no digo que no existan estudios que las respalden, incluso ensayos clínicos aleatorizados.
Me refiero a que incluso esos supuestos ensayos no son suficiente para hacer ninguna recomendación.
Omega-3 y fertilidad: lo que parece… y lo que realmente muestran los datos
Un buen ejemplo de esta confusión lo encontramos en los ácidos grasos omega-3.
🐟 Si leemos solo los titulares de un metaanálisis reciente (2024), la conclusión parece clara: los suplementos de omega-3 mejoran las tasas de embarazo, fertilización y resultados reproductivos, especialmente en mujeres sometidas a tratamientos de fertilidad.
📈 A simple vista cualquiera pensaría que suplementarse con omega-3 es una recomendación con fuerte respaldo científico.
📸👆 La imagen muestra tres gráficos de barras (forest plots) que comparan a mujeres que consumieron omega-3 frente a las que no lo hicieron, analizando la probabilidad de lograr un embarazo.
- Gráfico A: mujeres sometidas a tratamientos de fertilidad (como FIV o ICSI). Algunas investigaciones sugieren beneficios del omega-3, pero los resultados son muy variables. En unos estudios aparece un efecto positivo claro (barras desplazadas a la derecha del número 1), mientras que en otros apenas hay diferencia.
- Gráfico B: se repite el análisis eliminando un estudio con resultados extremos. El efecto parece más homogéneo, pero sigue siendo moderado y con márgenes de error amplios.
- Gráfico C: mujeres que intentaron concebir sin tratamientos médicos. Aquí también se observa una tendencia positiva (los cuadrados negros se concentran a la derecha de 1), pero no todos los estudios coinciden y algunos muestran ausencia de efecto.
📊 En los tres casos, el número “1” marca la línea de no efecto (es decir, cuando el omega-3 no cambia la fertilidad). Si los resultados están a la derecha, se interpreta como un posible beneficio; si se acercan a 1 o lo cruzan, la certeza disminuye.
💡 (Fuente) En conjunto, estos gráficos sugieren que los omega-3 podrían asociarse con mejores tasas de embarazo.
Pero cuando revisamos los métodos del estudio, la historia cambia.
⚠️ De los 11 trabajos incluidos, solo 2 eran ensayos clínicos aleatorizados (RCTs), mientras que 9 eran estudios observacionales.
Esto introduce varios problemas:
1️⃣ Los resultados pueden deberse a factores de confusión (las mujeres con mejor dieta y estilo de vida tienden a consumir más omega-3).
2️⃣ Existe una gran heterogeneidad entre estudios: países distintos, causas de infertilidad no aclaradas, y variaciones en la dosis y fuente de omega-3.
3️⃣ La calidad metodológica es desigual, lo que resta solidez al metaanálisis.
Los ensayos clínicos de omega-3 y fertilidad: ¿la prueba definitiva?
Hasta ahora hemos visto que muchos de los datos sobre omega-3 provienen de estudios observacionales.
📊 Pero ¿qué ocurre cuando miramos los ensayos clínicos aleatorizados (RCTs), que son la mejor herramienta para comprobar causa-efecto?
En el metaanálisis solo encontramos dos RCTs que muestran efecto positivo. Son precisamente los dos que aparecen en el gráfico que acompaña este apartado.
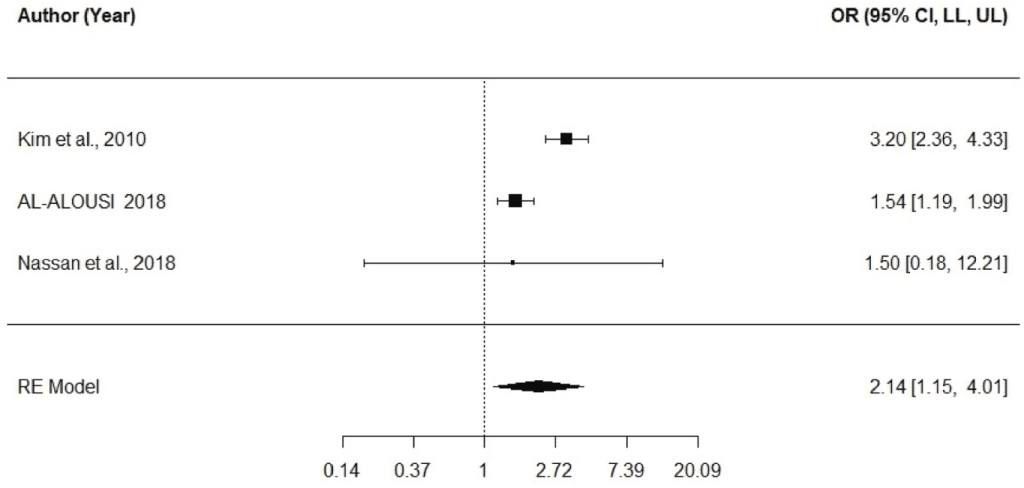
📸👆 El gráfico muestra los resultados de tres estudios que evaluaron el efecto de los suplementos de omega-3 sobre las tasas de fertilización en mujeres del metaanálisis anterior.
- Cada cuadrado negro representa un estudio individual, y su tamaño indica el peso que tuvo en el análisis.
- La línea horizontal de cada cuadrado es el intervalo de confianza: como vimos antes, si cruza el número 1, significa que el resultado no es estadísticamente seguro.
- En este caso, dos estudios (Kim 2010 y Al-Alousi 2018) muestran un efecto positivo claro, mientras que el de Nassan 2018 es tan impreciso que no permite sacar conclusiones.
La forma de rombo negro en la parte inferior resume el resultado global de todos los estudios: sugiere que el omega-3 podría duplicar las probabilidades de fertilización (OR = 2.14).
1️⃣ El estudio de Kim et al. (2010)
Este ensayo es el que reporta el efecto más espectacular (OR = 3.20), es decir, triplicar la tasa de fertilización en mujeres que tomaban omega-3.
El problema es que el artículo completo (full text) no aparece disponible en ninguna base de datos. El full text es la versión íntegra del estudio, donde se detallan todos los métodos, participantes y resultados, mucho más allá del simple resumen (abstract).
👉 He contactado con los autores y, si algún día me responden, actualizaré este artículo con esa información. De momento, no podemos evaluar la calidad real del trabajo.
2️⃣ El estudio de Al-Alousi (2018)
Es el RCT con más peso en el metaanálisis.
Muestra un efecto positivo (OR = 1.54), aunque con menor magnitud que el de Kim.
El problema aquí es diferente: el ensayo no está preregistrado, lo que significa que no se publicó un plan previo detallando qué se iba a medir y cómo. Esto abre la puerta a sesgos, como cambiar los objetivos a mitad de camino.
Además, hay ausencias importantes en el reporte (datos incompletos, falta de detalles en algunos apartados), aunque nada extremadamente grave. Aun así, los resultados que ofrece son llamativamente positivos.
📊 El metaanálisis combina estos estudios y encuentra un efecto global significativo en la tasa de fertilización (OR = 2.14). Pero ojo: también reporta una heterogeneidad altísima (I² = 83 %). Aunque esto se explica fácilmente con el estudio de Kim y colaboradores.
⚠️ Y aquí viene un detalle importante: estos resultados tan llamativos se han publicado en revistas Q4, que es el nivel más bajo en el sistema de clasificación por cuartiles de impacto científico.
Para que cualquiera lo entienda: si las revistas fueran ligas de fútbol, publicar en Q4 sería como jugar en tercera regional y marcar cinco goles de chilena desde medio campo.
⚽🤔 Suena espectacular, pero seguramente haya gato encerrado.

📸👆 Este gráfico compara la calidad media de los artículos con el cuartil (Q1–Q4) de las revistas. La línea negra une las medias por cuartil; cuanto más se acerca a Q1, mayor calidad.
1️⃣ Eje horizontal (abajo): aparecen los cuartiles de las revistas científicas.
- Q1 = las revistas con más prestigio e impacto.
- Q4 = las de menor impacto.
2️⃣ Eje vertical (izquierda): muestra la calidad de los artículos en una escala de 0 a 100.
3️⃣ Formas en violín (amarillo claro): indican la distribución de artículos dentro de cada cuartil. Si son más anchas, significa que hay más artículos con esa calidad.
4️⃣ Cajas amarillas: resumen de cada grupo (la línea dentro de la caja es la mediana).
5️⃣ Puntos negros dispersos: cada uno es un estudio individual.
6️⃣ Puntos grandes y línea negra: muestran la calidad media en cada cuartil y la tendencia general.
👉 Cómo interpretarlo:
Si ves que la línea negra desciende de Q1 a Q4, significa que los artículos de mayor calidad tienden a publicarse en revistas de mayor impacto (Q1–Q2), mientras que los de menor calidad aparecen más en revistas Q3–Q4.
⚠️ Ojo, importante: que un artículo esté en Q1 no garantiza que sea perfecto, y que esté en Q4 no significa automáticamente que sea malo. Pero la probabilidad de encontrar estudios poco fiables es más alta en Q4.
El verdadero problema con los suplementos y la fertilidad
⚠️ Uno de los mayores problemas al interpretar los estudios sobre suplementación de nutrientes esenciales es que rara vez sabemos si las personas del ensayo estaban consumiendo la cantidad adecuada en su dieta.
Si existe una deficiencia previa, el suplemento no está generando un “efecto mágico” ✨ sobre la fertilidad, sino que simplemente está corrigiendo esa carencia. En ese caso, el beneficio observado ya está incluido en las recomendaciones dietéticas generales.
💡 En eses caso, incluso si damos por buenos los resultados de los ensayos con omega-3, lo prioritario para una pareja que busca embarazo no sería lanzarse a por pastillas 💊, sino asegurarse de incluir en su alimentación fuentes de omega-3.
Entre las más accesibles están las semillas de lino molidas y las nueces, que aportan ácido alfa-linolénico, un precursor de los omega-3 de cadena larga presentes en el pescado azul.
Otros nutrientes o dietas importantes en fertilidad
Aunque no existe un patrón dietético único probado para mejorar la fertilidad, algunos estudios han comparado la dieta mediterránea con la dieta occidental.
Los resultados apuntan a diferencias interesantes, aunque no exentas de dudas metodológicas.
La dieta occidental y su relación con la fertilidad
La dieta occidental (WsD) se caracteriza por un alto consumo de azúcares, carnes rojas y procesadas, comida rápida y refrescos, junto con una baja ingesta de frutas, verduras, cereales integrales y pescado.
🔬 Los estudios observacionales sugieren que seguir una dieta occidental puede afectar negativamente a la fertilidad femenina:
- Se ha relacionado con menor número de blastocistos viables [estudio].
- También con tiempos más largos para lograr embarazo y mayor riesgo de infertilidad [estudio].
- En animales, se observan alteraciones hormonales como menor progesterona y hormona antimülleriana [estudio].
⚠️ Sin embargo, hay que tener cuidado al interpretar estos datos. La mayoría provienen de estudios observacionales, lo que implica riesgo de confusión.
- Por ejemplo, es posible que un tercer factor (como nivel socioeconómico, estrés crónico o acceso limitado a alimentos frescos) sea el que aumente la probabilidad de llevar una dieta occidental y al mismo tiempo reduzca la fertilidad.
En ese caso, la relación entre dieta occidental y fertilidad sería indirecta.
Para que esto se entienda todavía mejor, el siguiente paso será representar esta relación con un DAG (Directed Acyclic Graph). Ese diagrama nos permitirá visualizar cómo un factor de confusión puede influir tanto en la dieta como en la fertilidad 👇
📸👆 La dieta occidental aparece conectada con la fertilidad, lo que representa la posible relación estudiada en los papers.
Sin embargo, otros factores como el nivel socioeconómico 💰 y el estrés 😰 influyen tanto en la elección de la dieta como en la fertilidad.
Esto significa que parte del efecto que parece atribuible a la dieta occidental puede deberse en realidad a estos factores de confusión.
💡 Aunque los datos sugieren que la dieta occidental perjudica la fertilidad, el DAG muestra que no podemos separar fácilmente el efecto de la dieta del impacto de factores sociales y emocionales.
Carbohidratos y fertilidad femenina
La calidad de los carbohidratos parece más importante que la cantidad.
📊 Un alto consumo de alimentos de índice glucémico elevado puede aumentar la resistencia a la insulina y el estrés oxidativo, afectando la ovulación y la maduración de los óvulos.
La hiperinsulinemia también se asocia con exceso de andrógenos y desórdenes ovulatorios, especialmente en mujeres con síndrome de ovario poliquístico (SOP) [estudio].
- Un estudio con más de 18.000 mujeres mostró que una dieta alta en carbohidratos refinados se vinculó con mayor riesgo de infertilidad por anovulación.
🚫 Las bebidas azucaradas, en particular los refrescos carbonatados, se han asociado a menores tasas de éxito en técnicas de reproducción asistida.
📸👆 Los seis gráficos muestran datos de dos grandes cohortes: Snart Forældre (Dinamarca) y PRESTO (Estados Unidos). En todos los casos, el eje horizontal indica la cantidad de un nutriente en la dieta, y el eje vertical refleja el índice de fecundabilidad (probabilidad de lograr embarazo en cada ciclo).
- Fila superior: la carga glucémica (calidad de los carbohidratos) tiende a reducir la fecundabilidad cuanto más alta es, especialmente en la cohorte estadounidense.
- Fila central: la fibra dietética no muestra un efecto claro en ninguna de las dos cohortes, ya que la línea se mantiene cerca de 1.0 (sin cambios en la fertilidad).
- Fila inferior: un mayor consumo de azúcares añadidos se asocia con una menor probabilidad de embarazo, con una caída progresiva por debajo de 1.0.
(Fuente) – La franja gris representa el intervalo de confianza: cuanto más ancha, mayor incertidumbre en los resultados.
Grasas y fertilidad: calidad frente a cantidad
Las grasas juegan un papel clave en la función reproductiva. Pero más que la cantidad total, importa su calidad.
1️⃣ Las grasas trans (TFA) se asocian con mayor riesgo de infertilidad y alteraciones hormonales. En varios estudios, incluso un pequeño aumento del 2 % en su consumo incrementó el riesgo de infertilidad por anovulación.
2️⃣ Se supone que los omega-3 tienen propiedades antiinflamatorias y podrían mejorar la maduración ovocitaria y la calidad embrionaria. Sin embargo, la evidencia es contradictoria: algunos estudios muestran beneficios claros, como vimos antes, y otros estudios no encuentran relación.
3️⃣ Los ácidos grasos monoinsaturados (MUFA), presentes en aceite de oliva y frutos secos, parecen correlacionarse positivamente con la fertilidad y con menor tiempo para lograr embarazo.
4️⃣ En los lácteos, algunos trabajos sugieren que los de alta grasa se asocian a mayor fertilidad que los desnatados, aunque los resultados no son concluyentes ni siquiera para la asociación [estudio].

📸👆 El gráfico compara distintos tipos de grasas de la dieta según su impacto en la fertilidad y la solidez de la evidencia científica.
- Eje horizontal (abajo): muestra cuán consistente y fuerte es la evidencia (0 = muy baja, 100 = alta).
- Eje vertical (izquierda): indica la dirección del efecto sobre la fertilidad.
- Por encima de “Neutro” → la grasa se asocia con mayor fertilidad.
- Por debajo → con menor fertilidad.
Cada círculo amarillo representa un tipo de grasa:
- 🔴 TFA (grasas trans) → se sitúan abajo, indicando una clara relación con peor fertilidad, y con evidencia relativamente consistente.
- 🟡 Omega-3 y MUFA (monoinsaturadas, como aceite de oliva o frutos secos) → aparecen por encima de neutro, sugiriendo un posible beneficio para la fertilidad.
- ⚪ Lácteos → los resultados son más inciertos: los de alta grasa muestran una ligera asociación positiva, los bajos en grasa aparecen cerca de neutro o incluso algo negativos.
El tamaño del círculo refleja el número de estudios disponibles: cuanto más grande, más estudios analizados.
Proteínas y fertilidad: origen animal vs. vegetal
El consumo de proteína animal se ha vinculado con mayor riesgo de infertilidad por anovulación [estudio], mientras que la proteína vegetal se asocia con un efecto protector, especialmente en mujeres mayores de 32 años.
🐄 Las proteínas lácteas podrían reducir el número de folículos antrales, un marcador de la reserva ovárica [estudio]. En cambio, 🌱 las proteínas vegetales tienen un efecto menor sobre la insulina y el IGF-I, lo que podría favorecer un ambiente más fértil [estudio].
💡 Nada nuevo: incluir proteínas en cantidades adecuadas, con énfasis en legumbres, frutos secos y semillas, puede ser beneficioso.
Pero cuidado ⚠ de nuevo. Estamos hablando de correlaciones.
📸👆(Fuente) La imagen compara cómo distintos patrones dietéticos pueden influir en la fertilidad a través de la genética, la epigenética y la microbiota intestinal.
- En el lado izquierdo (verde): una dieta rica en proteínas vegetales, ácidos grasos poliinsaturados (PUFA), vitaminas, minerales y estilo mediterráneo 🌱 se asocia con:
- Mejor calidad de óvulos.
- Mayor formación de blastocistos y tasas de implantación.
- Más embarazos y nacimientos vivos.
- Mayor éxito en tratamientos de fertilidad asistida (ART).
- En el lado derecho (rojo): un patrón tipo dieta occidental con proteínas animales, azúcares, grasas trans y ultraprocesados 🍔🍩 se relaciona con:
- Mayor riesgo de trastornos ovulatorios e infertilidad.
- Problemas en el desarrollo embrionario.
- Menores tasas de embarazo y de nacidos vivos.
- Menor éxito en ART.
Micronutrientes esenciales y fertilidad
El ácido fólico, B12 y B6 influyen en el metabolismo de la homocisteína, y su déficit se relaciona con mayor riesgo de abortos recurrentes [revisión].
- 📊 Estudios observacionales muestran que la suplementación con ácido fólico puede reducir la anovulación y aumentar las tasas de embarazo.
- Sin embargo, no existen ensayos clínicos robustos que lo confirmen [revisión].
📸👆 (Fuente) El esquema muestra cómo la homocisteína se transforma en otros compuestos gracias al trabajo conjunto de varias vitaminas del grupo B:
- La vitamina B9 (ácido fólico) y la vitamina B12 participan en la remetilación, un proceso que recicla homocisteína y la convierte de nuevo en metionina.
- La vitamina B6 interviene en la transulfuración, que transforma homocisteína en cistationina y después en cisteína.
Estos procesos son esenciales porque niveles elevados de homocisteína pueden dañar el endotelio, aumentar el estrés oxidativo y dificultar la fertilidad.
La vitamina D participa en procesos endocrinos y en la regulación del ciclo menstrual. Algunos estudios la asocian con mejores resultados en técnicas de reproducción asistida, pero la evidencia es inconsistente [revisión]. ☀️
En cuanto a minerales, el déficit de hierro, yodo, zinc, magnesio o selenio se ha vinculado con menor fertilidad. ⚠️ La deficiencia de yodo, por ejemplo, puede retrasar el embarazo hasta un 46 % más [estudio].
Cómo no, un empleado de Bayer aprovecha entonces para recomendar suplementeación indiscriminada a todas las mujeres en edad fértil [revisión].
👇👀 Aquí te explico cómo funcionan las recomendaciones de suplementos.
Fitoestrógenos y fertilidad
Los fitoestrógenos (soja, semillas) imitan parcialmente la acción de los estrógenos. Como veremos más adelante (no se te ocurra perdértelo 😉), esto se ha utilizado para meter miedo a los hombres.
Algunos estudios los relacionan con mayor éxito en técnicas de fertilidad asistida [estudio], pero otros los asocian con infertilidad o ausencia de embarazo [estudio].
🤔 Dicen que la clave parece estar en la cantidad: en Asia se consumen unos 50 mg/día, mientras que en Europa y Norteamérica rara vez se supera 1–2 mg/día.
❌ Pero la efsa no encontró efectos ni en el endometrio ni en el útero con suplementación de 150 mg/día de fitoestrógenos. (No, tampoco en la tiroides 😉).
💡 Conclusión: no hay evidencia para recomendar suplementos de fitoestrógenos en fertilidad. Pasa un poco como con el omega-3.
Aún así, siemrpe tendemos a tratar de buscar mecanismos a partir de asociaciones que pueden no ser más que artefactos estadísticos.
📸👆 (Fuente) El esquema ilustra las hipótesis actuales sobre cómo los fitoestrógenos podrían influir en el riesgo y desarrollo del SOP (Síndrome de Ovario Poliquístico):
- Podrían mejorar la sensibilidad a la insulina y la tolerancia a la glucosa.
- Tal vez reduzcan los desequilibrios en la relación LH/FSH y la secreción de FSH, modulando el eje hormonal.
- Se sugiere que pueden afectar la esteroidogénesis, reduciendo hormonas como DHEAS y GnRH, e influyendo en la actividad enzimática.
- Podrían disminuir la inflamación y el estrés oxidativo, ayudando a controlar la obesidad.
Estos mecanismos hipotéticos se relacionan con una posible reducción del impacto del síndrome de ovario poliquístico, aunque la evidencia científica sigue siendo limitada y contradictoria.
Gluten y fertilidad
🚫 Eliminando el mito: no existen pruebas de que una dieta sin gluten mejore la fertilidad en mujeres sin enfermedad celíaca. Incluso, todo lo contrario [revisión].
Lo que sí se sabe es que las mujeres con infertilidad inexplicada tienen más probabilidad de padecer celiaquía no diagnosticada [metaanálisis]. En esos casos, una dieta sin gluten sí es esencial.

Antioxidantes
El estrés oxidativo se asocia con endometriosis, SOP y abortos recurrentes. Los antioxidantes (vitaminas A, C y E, inositol, L-carnitina) han mostrado en estudios preliminares cierta mejora en parámetros de fertilidad.
📊 Sin embargo, una revisión Cochrane concluyó que la evidencia es de muy baja calidad y no permite dar recomendaciones firmes sobre suplementación.
Entre los compuestos que se han estudiado con más interés está el inositol [revisión]. 🌱 Su suplementación podría ser especialmente relevante en mujeres con síndrome de ovario poliquístico (SOP), ya que mejora la sensibilidad a la insulina y modula la respuesta insulínica.
Además, los derivados del inositol actúan como mensajeros secundarios de las gonadotropinas LH y FSH, lo que explica por qué se ha visto que regulan el ciclo menstrual, mejoran la ovulación y favorecen el perfil metabólico en mujeres con SOP.
⚠️ Sin embargo, la evidencia aún es limitada: apenas hay estudios que relacionen el inositol con mayores tasas de embarazo, menor riesgo de aborto o más partos [metaanálisis].
📸👆 (Fuente) El esquema representa cómo los dos principales isómeros de inositol – myo-inositol (MI) y D-chiro-inositol (DCI) – participan en la regulación de la glucosa dentro de las células, actuando como segundos mensajeros de la insulina.
- El MI y el DCI, obtenidos de la dieta o producidos en el cuerpo, entran en la célula y se transforman en compuestos activos (IPGs).
- Estos IPGs imitan y refuerzan la señal de la insulina, activando rutas como PI3-K/Akt, que permiten que el transportador GLUT4 lleve glucosa al interior de las células musculares y del tejido adiposo.
- El DCI, en particular, estimula el almacenamiento de glucosa como glucógeno y favorece su utilización para obtener energía (ATP).
💡 En resumen: el inositol potencia la acción de la insulina, ayudando a que la glucosa entre mejor en las células y reduciendo la glucosa en sangre. Por eso su suplementación se estudia en mujeres con SOP, donde la resistencia a la insulina es frecuente.
Microbiota intestinal, café y alcohol en la fertilidad femenina
La alimentación no solo influye en la ovulación y las hormonas, sino también en aspectos menos evidentes como la microbiota intestinal y la exposición a sustancias externas como la cafeína o el alcohol.
Estos factores también podrían actuar de forma indirecta sobre la fertilidad y, aunque los mecanismos no siempre están claros, la evidencia apunta a que pueden tener un papel importante.
Microbiota intestinal y fertilidad
La dieta modula directamente la microbiota intestinal 🦠. Los alimentos no solo aportan nutrientes, sino que también condicionan el crecimiento o la inhibición de distintos grupos bacterianos [revisión].
Una dieta de tipo occidental se asocia con un aumento de Bacteroides y Ruminococcus. Por el contrario, una dieta rica en fibra y carbohidratos complejos promueve un mayor crecimiento de Bifidobacteria y Prevotella, bacterias frecuentes en personas vegetarianas [revisión].
El consumo elevado de grasas y productos animales se relaciona con más Alistipes, Bilophila y Bacteroides, pero con menos Firmicutes.
En cambio, las dietas vegetales y con fibra mejoran la barrera intestinal y reducen la presencia de LPS, moléculas que favorecen la inflamación.
📸👆 (Fuente) El gráfico muestra cómo una alteración de la microbiota intestinal (disbiosis) y una menor diversidad bacteriana pueden afectar la fertilidad femenina.
1️⃣ La disbiosis aumenta la permeabilidad intestinal, lo que facilita el paso de endotoxinas (LPS) a la sangre → esto favorece la inflamación.
2️⃣ Los cambios en la producción de ácidos grasos de cadena corta (SCFA) alteran el metabolismo energético.
3️⃣ Se modifican las rutas de bioconversión de los ácidos biliares, que influyen en la señalización metabólica.
4️⃣ Se ven afectados los procesos de síntesis de aminoácidos, alterando la homeostasis general.
5️⃣ Todo esto conduce a una activación crónica del sistema inmune, inflamación y resistencia a la insulina.
6️⃣ A su vez, se alteran hormonas como la ghrelina, GLP-1, CCK y PYY, que forman parte del eje intestino-cerebro.
El resultado final es un círculo vicioso entre hiperinsulinemia, inflamación y exceso de andrógenos, que contribuye al desarrollo y agravamiento del síndrome de ovario poliquístico (SOP/PCOS).
💡 Otra vez, nada nuevo: una dieta rica en fibra, legumbres, frutas y verduras parece proteger la microbiota, mientras que la dieta occidental puede favorecer la inflamación crónica y aumentar el riesgo de problemas de fertilidad.
Café, cafeína y fertilidad
☕ La cafeína se ha vinculado con un mayor tiempo para lograr embarazo y con un aumento del riesgo de pérdida gestacional. Además, durante la gestación se asocia con bajo peso al nacer, retraso en el crecimiento fetal y mayor riesgo de sobrepeso infantil.
Según la EFSA y el Colegio Americano de Obstetras y Ginecólogos, el límite “seguro” se sitúa en 200 mg/día de cafeína (≈ 2 cafés). Sin embargo, una revisión reciente con 48 estudios cuestiona que exista un umbral realmente seguro. ⚠️
Es importante recordar que la cafeína no solo está en el café, sino también en el té, cacao, refrescos y algunos medicamentos.
📸👆 (Fuente) La imagen resume cómo la cafeína afecta a distintos sistemas del cuerpo:
- 🧠 Cerebro: aumenta la alerta y el rendimiento mental, pero en exceso puede causar insomnio y ansiedad. También puede reducir el riesgo de depresión y de Parkinson.
- 💤 Pulmones: ayuda en el tratamiento de la apnea en recién nacidos y mejora levemente la función pulmonar en adultos.
- 🍷 Hígado: puede disminuir el riesgo de fibrosis, cirrosis y cáncer hepático.
- 💓 Sistema cardiovascular: eleva la presión arterial a corto plazo, aunque el cuerpo desarrolla cierta tolerancia con el consumo habitual.
- 🦾 Sistema endocrino: reduce la sensibilidad a la insulina en el músculo de forma transitoria, pero con el tiempo puede desarrollarse tolerancia.
- 💧 Riñones y vías urinarias: en dosis altas tiene un efecto diurético, aunque el consumo moderado no afecta al estado de hidratación.
- 👶 Sistema reproductivo: puede afectar al crecimiento fetal y aumentar el riesgo de pérdida gestacional si se consume en exceso durante el embarazo.
Alcohol y fertilidad
El consumo excesivo y crónico de alcohol 🍷 se ha asociado con menor fertilidad y con alteraciones menstruales [metaanálisis].
📸👆 El gráfico muestra la relación entre la cantidad de alcohol consumido al día (g/día) y la fecundabilidad relativa (RR), es decir, la probabilidad de lograr un embarazo en un ciclo menstrual.
- En el eje horizontal se representa la ingesta diaria de alcohol (0 a 37,5 g/día, equivalente hasta unas 3 copas).
- En el eje vertical está el riesgo relativo (RR). Un valor de 1 indica fertilidad normal; valores menores de 1 indican menor probabilidad de embarazo.
- La línea central (verde) muestra la tendencia observada en los estudios, mientras que las líneas discontinuas representan los intervalos de confianza.
📉 El metaanálisis concluyó que cada aumento de 12,5 g de alcohol al día (≈ una copa) se asocia con una reducción del 2 % en la probabilidad de embarazo por ciclo (RR 0,98; IC 95%: 0,97–0,99).
Aunque los mecanismos no están del todo claros, se cree que puede afectar a la maduración del óvulo, la ovulación, el desarrollo temprano del embrión y la implantación.
🚫 Durante el embarazo, el alcohol tiene un efecto altamente dañino sobre el feto y puede provocar el síndrome alcohólico fetal, entre otros trastornos graves del desarrollo.
📸👆 (Fuente) La fotografía muestra algunos de los rasgos típicos del síndrome alcohólico fetal (SAF), un trastorno causado por la exposición prenatal al alcohol:
- 👁️ Aberturas oculares pequeñas.
- 👃 Surco nasolabial (philtrum) aplanado o liso.
- 👄 Labio superior delgado.
Estos rasgos, junto con problemas de crecimiento y alteraciones neurológicas, forman parte del diagnóstico del SAF.
⚠️ El síndrome alcohólico fetal es 100 % prevenible: basta con no consumir alcohol durante el embarazo. Incluso pequeñas cantidades pueden ser dañinas para el desarrollo del feto.
Dietas vegetarianas y fertilidad: evidencia y mitos
Cada vez más parejas que buscan embarazo siguen dietas vegetarianas o veganas. Esto plantea dudas 🥺 sobre si pueden existir carencias de nutrientes clave para la fertilidad
Al mismo tiempo, abundan los mitos, como el supuesto efecto negativo de la soja en la fertilidad masculina.
La evidencia científica disponible permite aclarar algunos puntos importantes.
Dietas vegetarianas y fertilidad masculina
Uno de los estudios más citados en este aspecto fue realizado en adventistas del séptimo día, población con un alto porcentaje de vegetarianos de por vida.
📊 El trabajo encontró que los lacto-ovo vegetarianos y veganos tenían menor concentración y motilidad espermática en comparación con los omnívoros.
En el caso de los veganos, además, la motilidad hiperactiva (clave para que el espermatozoide penetre el óvulo) parecía reducida.
Los autores sugirieron varias explicaciones posibles:
1️⃣ Exposición prolongada a fitoestrógenos de la soja, habitual en estas dietas.
2️⃣ Deficiencias de micronutrientes críticos como vitamina B12 o zinc, esenciales para la espermatogénesis.
3️⃣ Residuos de pesticidas en frutas y verduras, que estudios en otros países han vinculado a peor morfología espermática.
⚠️ Sin embargo, este estudio tenía limitaciones importantes: el número de veganos era muy pequeño (5 veganos había 😂), los resultados podrían estar influidos por otros factores (índice de masa corporal, actividad física, tabaco), etc.
Al integrar estos datos en un metaanálisis reciente, la historia cambia.
✔️ El conjunto de la evidencia no muestra diferencias significativas en concentración, motilidad ni morfología espermática entre vegetarianos y omnívoros. La única señal fue una mayor heterogeneidad en motilidad, con algunos estudios incluso observando ventajas en veganos.
📸👆 El gráfico compara a hombres vegetarianos (verde) con no vegetarianos (negro) en tres parámetros de fertilidad:
1️⃣ Número total de espermatozoides (sperm count)
2️⃣ Concentración espermática (sperm concentration)
3️⃣ Morfología espermática (sperm morphology)
Cada estudio individual aparece con su estimación (cuadrados verdes) y su margen de error (líneas horizontales). El diamante negro al final resume el resultado combinado de todos los estudios.
👉 Interpretación:
- Si el diamante toca la línea vertical en el “0”, significa que no hay diferencias significativas entre vegetarianos y no vegetarianos.
- En los tres casos (conteo, concentración y morfología), el resultado global se centra en el “0”.
- Es decir: ser vegetariano no empeora la calidad del esperma según la evidencia conjunta.
⚠️ Algunos estudios pequeños sugieren peores valores, otros mejores, pero al ponerlos todos juntos el efecto desaparece.
En cuanto a hormonas sexuales masculinas:
- La testosterona y el estradiol no difieren de forma significativa.
- La globulina transportadora de hormonas sexuales (SHBG) aparece ligeramente más alta en vegetarianos, probablemente ligada a una mayor ingesta de fibra y menor grasa corporal, pero sin consecuencias clínicas claras.
📸👆 (Fuente) El gráfico ilustra una hipótesis de cómo ciertos componentes de la dieta podrían influir en la función mitocondrial del espermatozoide, clave para su motilidad, capacitación y capacidad de fecundar:
- 🐟 Ácidos grasos insaturados (ej. omega-3) y 🌱 polifenoles, carotenoides y vitaminas antioxidantes podrían proteger la mitocondria frente al estrés oxidativo.
- ⚡ La mitocondria del espermatozoide es el motor que genera ATP; sin suficiente energía, el esperma no se mueve adecuadamente.
- 📉 El estrés oxidativo daña la cadena respiratoria mitocondrial (parte inferior de la figura, donde se forman radicales libres de oxígeno O₂•–), afectando la producción de ATP.
- ⬆️ Por otro lado, un buen estado mitocondrial estaría vinculado con niveles adecuados de testosterona, hormona clave en la espermatogénesis.
Cuando se comparan hombres veganos y omnívoros emparejados por edad, índice de masa corporal y otros factores de estilo de vida, la película cambia de forma llamativa [estudio]:
- 📈 Conteo total de espermatozoides → fue mayor en los veganos (mediana 224 millones vs. 119 millones; p = 0.011).
- 🏃 Motilidad progresiva rápida (espermatozoides que realmente se mueven hacia adelante, cruciales para fecundar) → también más alta en veganos (17.5 % vs. apenas 1 %; p < 0.0001).
- 🔥 Estrés oxidativo (oxidation-reduction potential, un marcador de daño celular) → más bajo en veganos.
- 🧬 Daño en el ADN espermático → menos frecuente en veganos (8.2 % vs. 14.7 % en omnívoros).
⚠ Eso sí, cuidado porque estamos ante el mismo problema de siempre: aunque llevasen siendo veganos más de un año y comiesen soja, esto no tiene por qué decirnos nada sobre el impacto de la dieta vegana en la calidad del esperma.
Soja vs. estrógenos animales en lácteos y carnes
Cuando se discute sobre fertilidad y hormonas, la soja suele estar en el centro del debate por su contenido en isoflavonas (fitoestrógenos). Sin embargo, pocas veces se menciona que los lácteos y las carnes también contienen estrógenos naturales de origen animal, que sí son biológicamente activos en nuestro organismo.
📌 Estudio en hombres, mujeres y niños
- Tras beber leche de vaca, los hombres presentaron aumento en estrona y progesterona en sangre, junto con una disminución de LH, FSH y testosterona.
- En mujeres, el consumo de leche no alteró el momento de la ovulación, pero sí se registraron niveles más altos de estrógenos en orina.
- En niños prepuberales, también aumentaron los estrógenos y metabolitos medidos en orina, lo que abre preguntas sobre su posible efecto en la maduración sexual temprana.

📸👆 Cada fila es una hormona.
Blanco = valor basal, amarillo = después de beber leche.
La línea conecta ambos valores.
A la derecha aparece el % de cambio y la significación estadística (valor p).
📌 Estudio en hombres jóvenes (18–22 años, Rochester Study)
- Mayor consumo de lácteos enteros se asoció con:
- 🔻 Peor morfología espermática (-3,2 % de espermatozoides normales).
- 🔻 Menor motilidad progresiva.
- El efecto no se observó con la misma intensidad en los lácteos bajos en grasa.
Este último estudio es transversal, al igual que la mayoría de los que hemos visto hasta ahora.
Soja, fitoestrógenos y fertilidad masculina
Aunque los estudios observacionales generan dudas sobre la soja, un ensayo clínico reciente ha aportado luz sobre sus efectos reales.
Este estudio evaluó el impacto de diferentes proteínas (leche, soja baja y soja alta en isoflavonas) sobre parámetros seminales en hombres jóvenes.
📋 Los participantes fueron 32 hombres sanos de 20–40 años, sin enfermedades ni consumo de suplementos.
Durante tres fases de 57 días (separadas por 28 días de lavado), consumieron:
1️⃣ Aislado de leche (sin isoflavonas)
2️⃣ Soja con muy baja cantidad de isoflavonas
3️⃣ Soja rica en isoflavonas (0,75 mg/kg/día)
Evitaron otros alimentos ricos en fitoestrógenos, así como suplementos, legumbres o tés ricos en polifenoles.
¿Se acumulan los fitoestrógenos? Sí, pero sin efecto negativo
📈 El consumo del aislado de soja rico en isoflavonas aumentó notablemente la excreción urinaria de genisteína, daidzeína y equol.
➡️ El 31 % de los participantes se clasificaron como excretores de equol, lo que indica metabolismo activo de isoflavonas en su microbiota.
A pesar de esta acumulación, no se observó ninguna alteración significativa en los parámetros seminales:
- Concentración espermática
- Volumen de eyaculado
- Motilidad total y progresiva
- Morfología espermática
📊 Los resultados se mantuvieron incluso al ajustar por días de abstinencia o estado de excretor de equol.

Una editorial publicada junto al estudio cuestionó sus conclusiones 🧐. El autor observó que la motilidad espermática subió ligeramente en el grupo que tomó leche (de 57,3 % a 60,5 %), pero bajó en los grupos que tomaron soja: de 62,1 % a 55,1 % con soja baja en isoflavonas, y de 63,5 % a 55,3 % con soja rica en isoflavonas.
Esto le llevó a sugerir que quizá la soja reduce la motilidad, pero que el estudio no lo detectó porque había pocos participantes. Es decir, que con una muestra mayor, tal vez habría salido un resultado “significativo”.
🔍 Pero este razonamiento tiene una trampa: se basa solo en comparar los números sin ajustar por el punto de partida. Esto puede llevar a conclusiones erróneas, sobre todo cuando se trabaja con variables tan variables como el semen.
📉 En ciencia, no basta con ver si un número sube o baja. Hay que analizar si ese cambio es real o si podría deberse al azar. Para eso se usan modelos estadísticos más precisos. Uno de los más comunes es el ANCOVA.
🧠 ¿Qué es un ANCOVA?
ANCOVA significa análisis de covarianza. Es una herramienta estadística que permite comparar grupos teniendo en cuenta diferencias iniciales.
👉 Imagina que queremos saber si dos tratamientos afectan a la motilidad del esperma.
Si un grupo empieza con 63 % y otro con 57 %, no podemos simplemente comparar cómo acaban. El grupo que empezó más alto tiene más margen para bajar. El ANCOVA ajusta las diferencias iniciales para hacer la comparación justa ➡️ como si todos hubieran empezado desde el mismo punto.
Además, también se pueden controlar otros factores que pueden influir en el resultado final. En este estudio, por ejemplo, se tuvo en cuenta:
1️⃣ El valor inicial del parámetro (como la motilidad espermática).
2️⃣ Los días de abstinencia sexual antes de recoger la muestra, que afectan a la calidad del semen.
3️⃣ El orden en que se administraron los tratamientos (porque el estudio era cruzado).
4️⃣ El estado de “excretor de equol” de cada participante, ya que algunas personas metabolizan las isoflavonas de forma distinta.
📊 Todo esto se incluyó en el modelo estadístico para asegurarse de que los cambios observados no se debían a estos otros factores.
🧪 ¿Y qué encontraron?
Al aplicar el análisis correcto, los resultados fueron claros: no hubo diferencias estadísticamente significativas entre los tres tratamientos, ni en motilidad ni en otros parámetros del semen. Tampoco al tener en cuenta cómo metabolizaban la soja los participantes.
⚠️ Por eso, la crítica editorial no se sostiene. Compara números brutos, como si bastara ver si una cifra sube o baja. Pero en ciencia, eso no demuestra nada si no se ajusta por cómo empezó cada grupo y por los factores que pueden influir.
✅ El estudio aplicó un método riguroso, diseñado precisamente para evitar ese tipo de errores. Si las isoflavonas hubieran tenido un efecto negativo, el análisis lo habría detectado. Como no fue así, no hay evidencia de que la soja perjudique la fertilidad masculina en hombres sanos. Al menos, basándonos en ese estudio.
La agencia de salud francesa recomienda limitar el consumo de soja
Una de las recomendaciones más citadas contra la soja procede de la agencia francesa de seguridad alimentaria (ANSES), que sugiere limitar el consumo de isoflavonas, especialmente en poblaciones sensibles.
📄 Esta recomendación se basa en una revisión extensa de estudios en animales, especialmente en ratas y ratones, a los que se les administraron dosis elevadas de isoflavonas.

⚠️ Pero aquí empieza el problema: los roedores metabolizan las isoflavonas de forma muy distinta a los humanos. De hecho, hay estudios en los que un mismo compuesto tiene efectos opuestos según la especie.
Los ratones y ratas conjugan menos eficientemente las isoflavonas, por lo que tienen mucho más genisteína no conjugada (la forma más activa biológicamente) circulando en sangre.
Estas concentraciones pueden ser entre 20 y 150 veces mayores que en humanos.
Ratas y monos producen grandes cantidades de equol (metabolito activo) en suero.
En cambio, los humanos y los cerdos apenas lo producen.
Además, en humanos y cerdos, las isoflavonas circulan mayoritariamente como glucurónidos, mientras que en ratas y monos hay proporciones elevadas de formas libres (agliconas) [revisión].
Lo más llamativo es que la propia ANSES reconoce esto en su informe:
🔍 “Es importante tener en cuenta que estos valores de referencia se determinaron según una metodología validada para agentes químicos indeseables (pesticidas, productos peligrosos, etc.). Sin embargo, esta solicitud formal concierne a un grupo de compuestos presentes de forma natural en los alimentos, para los que existe un gran volumen de datos en humanos que evalúan posibles efectos beneficiosos más que adversos.”
Es decir: ❗ aplicaron los mismos criterios que se usan para tóxicos como pesticidas a un alimento tradicional como la soja, rico en compuestos bioactivos sobre los que hay abundante evidencia humana.
💡 A medida que uno avanza en la lectura del informe, parece que la conclusión lógica sería recomendar su consumo, ya que los datos en humanos muestran efectos beneficiosos en colesterol, presión arterial, densidad ósea, síntomas menopáusicos o, como hemos visto, parámetros de fertilidad masculina.
Pero no. En lugar de eso, decidieron ignorar sistemáticamente los estudios en humanos, y dar prioridad a experimentos en roedores aislados, con dosis exageradas y sin relevancia real.
🏷️ Tratar un alimento como si fuera un “producto químico peligroso”, cuando jamás se ha encontrado una relación negativa con la salud, rompe con cualquier lógica científica. Si aplicáramos ese mismo criterio al resto de alimentos, no podríamos ni beber agua, ya que en alguna especie siempre habrá efectos adversos en determinadas condiciones.
📌 La ciencia nutricional debe basarse en los mejores razonamientos, evidencia directa en humanos, con dosis realistas y contextos comparables. Cualquier otra estrategia solo genera confusión y alimenta el alarmismo injustificado.
De hecho, organismos como la EFSA, VKM y NCM han evaluado los mismos datos y han concluido que:
- No se han encontrado efectos perjudiciales en niños, embarazadas o población general con el consumo habitual de soja.
- Las fórmulas infantiles basadas en soja son seguras y no producen diferencias clínicas relevantes en crecimiento, desarrollo hormonal, óseo, metabólico ni cognitivo.
- El riesgo se basa en alteraciones vistas en ratas, como cambios en el tamaño del epidídimo o en el número de crías tras exposición prenatal. Pero estos efectos no se han replicado en humanos y las diferencias metabólicas entre especies hacen que no sean extrapolables.
A lo largo de estos años he visto mucha pseudociencia institucional al hablar de nutrición. La recomendación de la ANSES entra directa al top 3 histórico.
Conclusión
¿Y entonces? ¿Puede la alimentación influir en la fertilidad masculina y femenina? 🧬 según los datos disponibles, sí, aunque con matices importantes 🥗
🤓 Los estudios apuntan a que ciertos patrones dietéticos, ricos en vegetales, legumbres, cereales integrales, grasas de calidad y proteína vegetal, se asocian con mejores parámetros reproductivos, tanto en mujeres como en hombres. Estas asociaciones incluyen mayor número de ovocitos viables, tasas de fertilización más altas y mejor calidad seminal.
🍔 Por el contrario, la dieta occidental con azúcares añadidos, grasas trans, alcohol y baja densidad nutricional se ha vinculado con más dificultades para concebir, tanto de forma natural como en tratamientos de fertilidad.
🧾 La mayoría de los estudios disponibles son observacionales y están sujetos a factores de confusión. Aunque algunos ensayos clínicos muestran efectos positivos de ciertos suplementos, la evidencia no es suficientemente robusta como para establecer recomendaciones generalizadas 🧪
En conjunto, los datos respaldan que la alimentación puede tener un papel relevante en la fertilidad humana, pero el efecto depende del contexto, la calidad de los estudios y la existencia o no de deficiencias previas en nutrientes clave.